《自考视频课程》名师讲解,轻松易懂,助您轻松上岸!低至199元/科!
全国2007年10月高等教育自学考试
自动控制理论(二)试题
课程代码:02306
一、单项选择题(本大题共15小题,每小题2分,共30分)
在每小题列出的四个备选项中只有一个是符合题目要求的,请将其代码填写在题后的括号内.错选、多选或未选均无分.
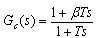
1.对超前校正装置
,当φm=38°时,β值为( )
A.2.5
B.3
C.4.17
D.5
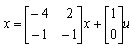
2.若系统的状态方程为
,则系统的特征根为( )
A.s1=-2,s2=-3
B.s1=-2,s2=1
C.s1=-4,s2=-1
D.s1=-2,s2=-1
3.决定系统传递函数的是系统的( )
A.结构
B.参数
C.输入信号
D.结构和参数
4.终值定理的数学表达式为( )
A.
B.
C.
D.
5.梅森公式为( )
A.
B.
C.
D.
6.斜坡输入函数r(t)的定义是( )
A.
B.
C.
D.
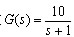
7.一阶系统
的时间常数T越小,则系统的响应曲线达到稳态值的时间( )
A.越短
B.越长
C.不变
D.不定
8.设微分环节的频率特性为
,当频率ω从0变化至∞时,其极坐标平面上的奈氏曲线是( )
A.正虚轴
B.负虚轴
C.正实轴
D.负实轴
9.在奈氏判据中,若F(s)在F(s)平面上的轨迹顺时针包围原点两次,则N的值为( )
A.-2
B.-1
C.1
D.2
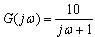
10.设某系统的传递函数
,则其频率特性
的实部
=( )
A.
B.
C.
D.
11.绘制根轨迹时需计算入射角的情况为:开环传递函数有( )
A.实极点
B.实零点
C.共轭复极点
D.共轭复零点
12.若劳斯阵列表中第一列的系数为(3,1,ε,2-
,12)T,则此系统的稳定性为( )
A.稳定
B.临界稳定
C.不稳定
D.无法判断
13.设惯性环节的频率特性为
,当频率ω从0变化至∞时,则其幅相频率特性曲线是一个半圆,位于极坐标平面的( )
A.第一象限
B.第二象限
C.第三象限
D.第四象限
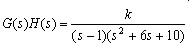
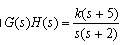
14.开环传递函数为
的根轨迹的弯曲部分轨迹是( )
A.半圆
B.整圆
C.抛物线
D.不规则曲线
15.开环传递函数为
,其根轨迹渐近线与实轴的交点为( )
A.-5/3
B.-3/5
C.3/5
D.5/3
二、填空题(本大题共10小题,每小题1分,共10分)
请在每小题的空格中填上正确答案.错填、不填均无分.
16.超前校正装置的主要作用是在中频段产生足够大的_____________,以补偿原系统过大的滞后相角.
17.引入附加零点,可以改善系统的_____________性能.
18.如果实轴上某一段右边的开环实数零点、极点总个数为_____________,则这一段就是根轨迹的一部分.
19.在频域中,通常用相位裕量和增益裕量表示系统的_____________.
20.若系统特征方程的某一项系数为负,则此系统一定_____________.
21.迟延环节的相频特性曲线
,当ω→∞时,
→_____________.
22.一阶系统
的单位脉冲响应为_____________.
23.单位抛物线函数的数学表达式为_____________.
24.利用_____________公式可以根据复杂的信号流图直接求出系统总的传递函数.
25.单位阶跃函数1(t)的拉氏变换为_____________.
三、名词解释题(本大题共4小题,每小题3分,共12分)
26.对数坐标图(Bode图)
27.混合节点
28.校正装置
29.扰动
四、简答题(本大题共4小题,每小题5分,共20分)
30.已知s平面上的根轨迹,如何根据要求的阻尼系数ζ(如ζ=0.5)确定闭环主导极点?
31.试绘制衰减振荡过程的单位阶跃响应曲线,并在曲线上标示系统动态和稳态性能指标.
32.控制系统的方框图有哪些基本连接方式?
33.试以淋浴水温调节为例说明控制系统的工作原理.
五、计算题(本大题共3小题,第34小题8分,第35、36小题10分,共28分)
34.设系统的状态空间描述为

试求系统的传统函数.
35.一单位反馈控制系统的开环传递函数为
,试求
(1)系统的ζ及ωn;
(2)最大超调量
及上升时间tr和调整时间
式中y为系统的输出变量,x为系统的输入变量.设x=20·1(t),初始条件为y(0)=5,
求出系统的输出y(t).
本文标签:深圳自考 历年真题 全国2007年10月高等教育自学考试自动控制理论(
转载请注明:文章转载自(http://www.szzikao.cn)
《深圳自考网》免责声明:
1、由于考试政策等各方面情况的调整与变化,本网提供的考试信息仅供参考,最终考试信息请以省考试院及院校官方发布的信息为准。
2、本站内容部分信息均来源网络收集整理或来源出处标注为其它媒体的稿件转载,免费转载出于非商业性学习目的,版权归原作者所有,如有内容与版权问题等请与本站联系。联系邮箱:812379481@qq.com