《自考视频课程》名师讲解,轻松易懂,助您轻松上岸!低至199元/科!
全国2007年10月高等教育自学考试
混凝土及砌体结构(建筑结构)试题
课程代码:02396(02432)
一、单项选择题(本大题共10小题,每小题2分,共20分)
在每小题列出的四个备选项中只有一个是符合题目要求的,请将其代码填写在题后的括号内.错选、多选或未选均无分.
1.若结构或构件超过正常使用极限状态,将会损害其( )
A.安全性或适用性
B.经济性或耐久性
C.适用性或耐久性
D.安全性或经济性
2.确定混凝土强度等级的依据是( )
A.立方体抗压强度标准值
B.轴心抗压强度标准值
C.立方体抗压强度平均值
D.轴心抗压强度平均值
3.钢筋混凝土受弯构件从加载到破坏经历了三个阶段,验算使用阶段裂缝宽度和挠度所对应的阶段是( )
A.Ⅰa阶段
B.Ⅱ阶段
C.Ⅲ阶段
D.Ⅲa阶段
4.在钢筋混凝土受弯构件中,要求弯起钢筋的弯起点设置在按正截面受弯承载力计算的充分利用截面h0/2以外处,其目的是( )
A.保证正载面受弯承载力
B.保证斜截面受剪承载力
C.保证斜截面受弯承载力
D.限制斜裂缝宽度
5.钢筋混凝土对称配筋矩形截面小偏心受压柱,下列四组内力中,对配筋起控制作用的是( )
A.M=50kN·m,N=2200kN
B.M=-50kN·m,N=2600kN
C.M=-80kN·m,N=2600kN
D.M=80kN·m,N=2200kN
6.计算钢筋混凝土矩形截面弯剪扭构件承载力时,不需对构件进行受扭承载力计算的条件是( )
A.T≤0.7ftWt
B.T≤0.7ftbh0
C.T≤0.175ftWt
D.T≤0.25βc fcbh0
7.采用考虑塑性内力重分布的方法计算钢筋混凝土连续梁(板)内力时,支座截面相对受压区高度应满足( )
A.ξ≤ξb
B.0.1≤ξ≤0.35
C.ξ>ξb
D.0.35<ξ≤ξb
8.提高钢筋混凝土受弯构件弯曲刚度最有效的措施是( )
A.增加构件的截面宽度
B.增加受拉钢筋载面面积
C.提高混凝土强度等级
D.增加构件的截面高度
9.对构件施加预应力的目的是( )
A.检验构件的承载力
B.提高构件的承载力
C.提高构件的承载力和抗裂度
D.提高构件的抗裂度
10.在砌体结构房屋中,确定承重墙厚度的主要依据是( )
A.承载力和高厚比
B.适用性和耐久性
C.高厚比和耐久性
D.承载力和适用性
四、简答题(本大题共6小题,每小题5分,共30分)
25.画出钢筋混凝土双筋矩形截面受弯构件正载面受弯承载力计算简图,写出计算公式和适用条件.
26.钢筋混凝土轴心受压构件中,纵向受力钢筋和箍筋的作用是什么?
27.预应力混凝土构件对预应力钢筋有哪些要求?预应力钢筋有哪几类?
28.砖砌体轴心受压构件从加载到破坏经历了几个阶段?简述各阶段的特征.
29.简述单向板肋梁楼盖主梁的计算特点.
30.砌体结构房屋的静力计算方案有哪几种?以单层房屋为例,画出相应的计算简图.
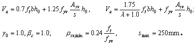
8@100.该梁承受均布荷载作用,最大剪力设计值V=570kN.试验算该梁的斜截面受剪承载力是否满足要求.
).该柱承受轴向压力设计值N=1000kN,弯矩设计值M=470kN·m.若采用对称配筋,试确定所需纵向受力钢筋截面面积AS和AS′(不要求验算垂直于弯矩作用平面的受压承载力).
.
本文标签:深圳自考 历年真题 全国2007年10月高等教育自学考试混凝土及砌体结
转载请注明:文章转载自(http://www.szzikao.cn)
《深圳自考网》免责声明:
1、由于考试政策等各方面情况的调整与变化,本网提供的考试信息仅供参考,最终考试信息请以省考试院及院校官方发布的信息为准。
2、本站内容部分信息均来源网络收集整理或来源出处标注为其它媒体的稿件转载,免费转载出于非商业性学习目的,版权归原作者所有,如有内容与版权问题等请与本站联系。联系邮箱:812379481@qq.com