《自考视频课程》名师讲解,轻松易懂,助您轻松上岸!低至199元/科!
一、单项选择题(本大题共5小题,每小题2分,共10分)
在每小题列出的四个备选项中只有一个是符合题目要求的,请将其代码填写在题后的括号内.错选、多选或未选均无分.
1.设函数y=f(x)的定义域为(1,2),则f(ax)(a<0)的定义域是()
A.(
)
B.[
)
C.(a,2a)
D.(
]
2.设f(x)=x|x|,则f′(0)=()
A.1
B.-1
C.0
D.不存在
3.下列极限中不能应用洛必达法则的是()
A.
B.
C.
D.
4.设f(x)是连续函数,且
,则f(x)=()
A.cosx-xsinx
B.cosx+xsinx
C.sinx-xcosx
D.sinx+xcosx
5.设某商品的需求量D对价格p的需求函数为D=50-
,则需求价格弹性函数为()
A.
B.
C.

D.

二、填空题(本大题共10小题,每小题3分,共30分)
请在每小题的空格中填上正确答案.错填、不填均无分.
6.设f(x)=
,则f(f(x))=_______.
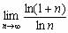
7.
=_______.
8.
_______.
9.设f′(0)=1,则
_______.
10.设函数y=x+klnx在[1,e]上满足罗尔定理的条件,则k=_______.
11.曲线y=ln
的竖直渐近线为_______.
12.曲线y=xlnx-x在x=e处的切线方程为_______.
13.
_______.
14.微分方程xy′-ylny=0的通解是_______.
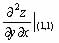
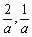
15.设z=(x+y)exy,则
=_______.
三、计算题(一)(本大题共5小题,每小题5分,共25分)
16.求极限
17.设y=
,求y′.
18.求不定积分
19.设z=x+y+
,求
.
20.设F(u,v)可微,且,
z(x,y)是由方程F(ax+bz,ay-bz)=0(b≠0)所确定的隐函数,求
四、计算题(二)(本大题共3小题,每小题7分,共21分)
21.设y=ln(1+x+
求y′.
22.计算定积分
23.计算二重积分I=
[1]
本文标签:深圳自考 历年真题 全国2008年10月高等教育自学考试高等数学(一)
转载请注明:文章转载自(http://www.szzikao.cn)
《深圳自考网》免责声明:
1、由于考试政策等各方面情况的调整与变化,本网提供的考试信息仅供参考,最终考试信息请以省考试院及院校官方发布的信息为准。
2、本站内容部分信息均来源网络收集整理或来源出处标注为其它媒体的稿件转载,免费转载出于非商业性学习目的,版权归原作者所有,如有内容与版权问题等请与本站联系。联系邮箱:812379481@qq.com