《自考视频课程》名师讲解,轻松易懂,助您轻松上岸!低至199元/科!
全国2009年10月高等教育自学考试数据结构试题
课程代码:02331
一、单项选择题(本大题共15小题,每小题2分,共30分)
在每小题列出的四个备选项中只有一个是符合题目要求的,请将其代码填写在题后的括号内.错选、多选或未选均无分.
1.按值可否分解,数据类型通常可分为两类,它们是( )
A.静态类型和动态类型
B.原子类型和表类型
C.原子类型和结构类型
D.数组类型和指针类型
2.对于三个函数f(n)=2008n3+8n2+96000,g(n)=8n3+8n+2008和h(n)=8888nlogn+3n2,下列陈述中不成立的是( )
A.f(n)是0(g(n))
B.g(n)是0(f(n))
C.h(n)是0(nlogn)
D.h(n)是0(n2)
3.指针p、q和r依次指向某循环链表中三个相邻的结点,交换结点*q和结点*r在表中次序的程序段是( )
A.p->next=r; q->next=r->next; r->next=q;
B.p->next=r; r->next=q; q->next=r->next;
C.r->next=q; q->next=r->next; p->next=r;
D.r->next=q; p->next=r; q->next=r->next;
4.若进栈次序为a,b,c,且进栈和出栈可以穿插进行,则可能出现的含3个元素的出栈序列个数是( )
A.3
B.5
C.6
D.7
5.假设以数组A[n]存放循环队列的元素,其头指针front指向队头元素的前一个位置、尾指针rear指向队尾元素所在的存储位置,则在少用一个元素空间的前提下,队列满的判定条件为( )
A.rear= =front
B.(front+1)%n= =rear
C.rear+1= =front
D.(rear+1)%n= =front
6.串的操作函数str定义为:
int str(char*s) {
char *p=s;
while (*p!=′′)p++;
return p-s;
}
则str(″abcde″)的返回值是( )
A.3
B.4
C.5
D.6
7.二维数组A[10][6]采用行优先的存储方法,若每个元素占4个存储单元,已知元素A[3][4]的存储地址为1000,则元素A[4][3]的存储地址为( )
A.1020
B.1024
C.1036
D.1240
8.对广义表L= (a,())执行操作tail(L)的结果是( )
A.()
B.(())
C.a
D.(a)
9.已知二叉树的中序序列和后序序列均为ABCDEF,则该二叉树的先序序列为( )
A.FEDCBA
B.ABCDEF
C.FDECBA
D.FBDCEA
10.已知森林F={T1,T2,T3,T4,T5},各棵树Ti(i=1,2,3,4,5)中所含结点的个数分别为7,3,5,l,2,则与F对应的二叉树的右子树中的结点个数为( )
A.2
B.3
C.8
D.11
11.若非连通无向图G含有21条边,则G的顶点个数至少为( )

A.7
B.8
C.21
D.22
12.如图所示的有向图的拓扑序列是( )
A.c,d,b,a,e
B.c,a,d,b,e
C.c,d,e,a,b
D.c,a,b,d,e
13.对关键字序列(6,1,4,3,7,2,8,5)进行快速排序时,以第1个元素为基准的一次划分的结果为( )
A.(5,1,4,3,6,2,8,7)
B.(5,1,4,3,2,6,7,8)
C.(5,1,4,3,2,6,8,7)
D.(8,7,6,5,4,3,2,1)
14.分块查找方法将表分为多块,并要求( )
A.块内有序
B.块间有序
C.各块等长
D.链式存储
15.便于进行布尔查询的文件组织方式是( )
A.顺序文件
B.索引文件
C.散列文件
D.多关键字文件

三、解答题(本大题共4小题,每小题5分,共20分)
26.如图所示,在n×n矩阵A中,所有下标值满足关系式i+j<n+l的元素aij的值均为0,现将A中其它元素按行优先顺序依次存储到长度为n(n+1)/2的一维数组sa中,其中元素a1,n存储在sa[0].
(1)设n=10,元素a4,9存储在sa[p],写出下标p的值;
(2)设元素ai,j存储在sa[k]中,写出由i,j和n计算k的一般公式.

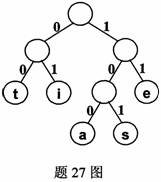
27.由字符集{s,t,a,e,I}及其在电文中出现的频度构建的哈夫曼树如图所示.已知某段电文的哈夫曼编码为111000010100,请根据该哈夫曼树进行译码,写出原来的电文.

28.已知无向图G的邻接表如图所示,
(1)画出该无向图;
(2)画出该图的广度优先生成森林.

29.对序列(48,37,63,96,22,31,50,55,11)进行升序的堆排序,写出构建的初始(大根)堆及前两趟重建堆之后的序列状态.
初始堆:
第1趟:
第2趟:
四、算法阅读题(本大题共4小题,每小题5分,共20分)
30.阅读下列算法,并回答问题:

(1)无向图G如图所示,写出算法
f30(&G)的返回值;
(2)简述算法f30的功能.
#define MaxNum 20
int visited[MaxNum];
void DFS(Graph *g,int i);
/*从顶点vi出发进行深度优先搜索,访问顶点vj时置visited[j]为1*/
int f30(Graph *g)
{ int i,k;
for (i=0; i<g->n; i++)/*g->n为图g的顶点数目*/
visited[i]=0;
for (i=k=0; i<g->n; i++)
if (visited[i]= =0)
{ k++;
DFS(g,i);
}
return k;
}
31.假设学生成绩按学号增序存储在带头结点的单链表中,类型定义如下:
typedef struct Node {
int id; /*学号*/
int score; /*成绩*/
struct Node *next;
} LNode, *LinkList;
阅读算法f31,并回答问题:
(1)设结点结构为
本文标签:深圳自考 历年真题 全国2009年10月高等教育自学考试数据结构试题
转载请注明:文章转载自(http://www.szzikao.cn)
《深圳自考网》免责声明:
1、由于考试政策等各方面情况的调整与变化,本网提供的考试信息仅供参考,最终考试信息请以省考试院及院校官方发布的信息为准。
2、本站内容部分信息均来源网络收集整理或来源出处标注为其它媒体的稿件转载,免费转载出于非商业性学习目的,版权归原作者所有,如有内容与版权问题等请与本站联系。联系邮箱:812379481@qq.com